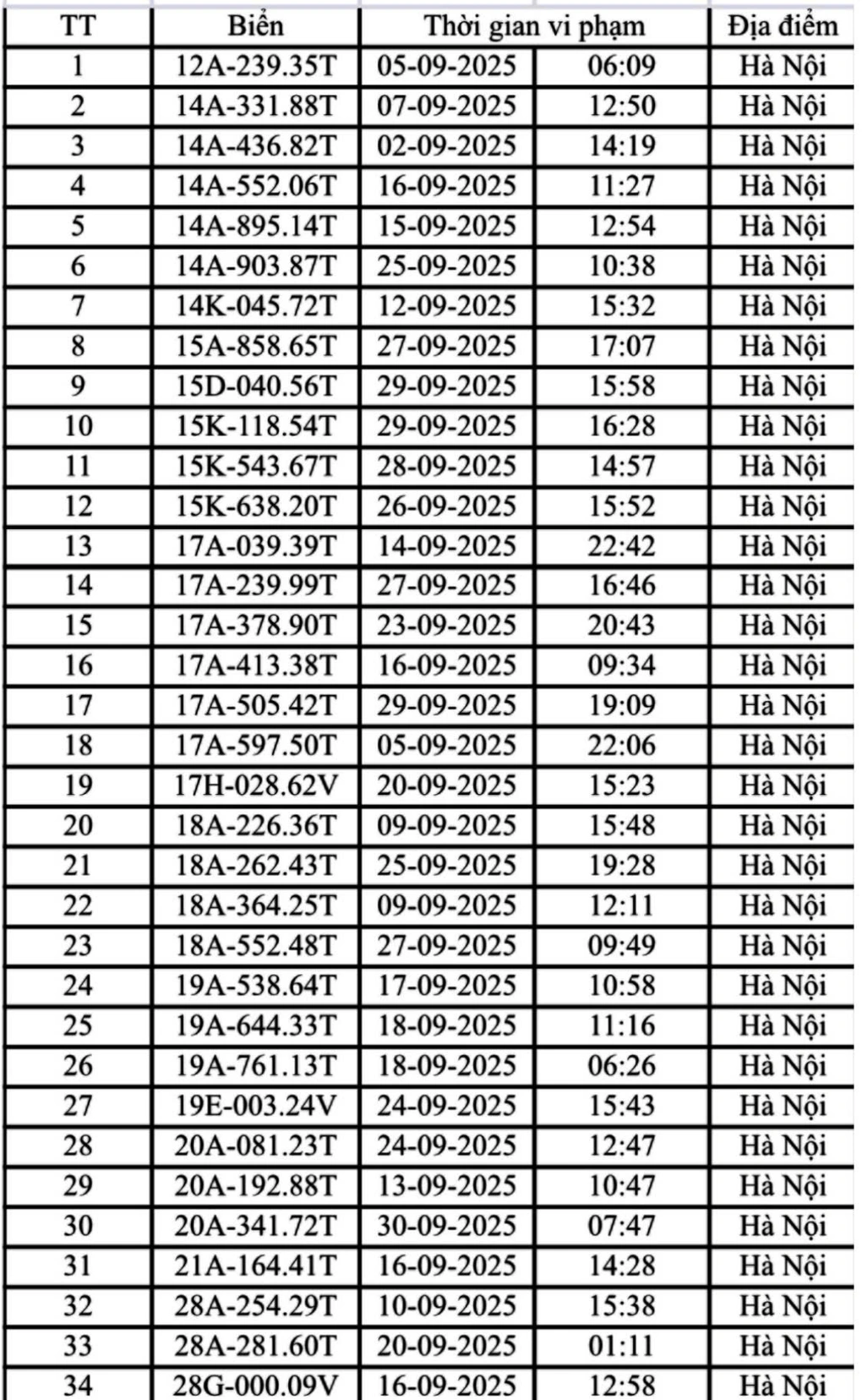
Trong tháng 9, qua hệ thống camera giám sát giao thông, Phòng CSGT Công an TP Hà Nội đã phát hiện và phạt nguội 221 trường hợp ô tô và xe máy vi phạm.
Tối 6/10, Phòng CSGT Công an TP Hà Nội cho biết tính từ 1 đến 30/9, qua hệ thống camera giám sát giao thông, đơn vị này đã phát hiện và phạt nguội 221 trường hợp ô tô và xe máy vi phạm giao thông.







Xem thêm: https://dantri.com.vn/thoi-su/danh-sach-221-o-to-va-xe-may-bi-phat-nguoi-trong-thang-9-o-ha-noi-20251006202252696.htm

